DEFA14A: Additional definitive proxy soliciting materials and Rule 14(a)(12) material
Published on October 24, 2025
UNITED STATES
SECURITIES AND EXCHANGE COMMISSION
Washington, D.C. 20549
SCHEDULE 14A
PROXY STATEMENT PURSUANT TO SECTION 14(a) OF
THE
SECURITIES EXCHANGE ACT OF 1934
| Filed by the Registrant | x |
| Filed by a Party other than the Registrant | ¨ |
Check the appropriate box:
| ¨ | Preliminary Proxy Statement |
| ¨ | Confidential, for Use of the Commission Only (as permitted by Rule 14a-6(e)(2)) |
| ¨ | Definitive Proxy Statement |
| x | Definitive Additional Materials |
| ¨ | Soliciting Material Pursuant to §240.14a-11(c) or §240.14a-2 |
AMC ENTERTAINMENT HOLDINGS, INC.
(Name of Registrant as Specified In Its Charter)
N/A
(Name of Person(s) Filing Proxy Statement, if other than the Registrant)
Payment of Filing Fee (Check all boxes that apply):
| x | No fee required |
| ¨ | Fee paid previously with preliminary materials |
| ¨ | Fee computed on table in exhibit required by Item 25(b) per Exchange Act Rules 14a-6(i)(1) and 0-11 |
| Step 1: Go to www.envisionreports.com/AMC. Step 2: Click on Cast Your Vote or Request Materials. Step 3: Follow the instructions on the screen to log in. www.envisionreports.com/AMC Online Go to www.envisionreports.com/AMC or scan the QR code — login details are located in the shaded bar below. Stockholder Meeting Notice 046X7C Important Notice Regarding the Availability of Proxy Materials for the AMC Entertainment Holdings, Inc. Stockholders Meeting to be Held on December 10, 2025. Under Securities and Exchange Commission rules, you are receiving this notice that the proxy materials for the annual stockholders’ meeting are available on the Internet. Follow the instructions below to view the materials and vote online or request a copy. The items to be voted on and location of the annual meeting are on the reverse side. Your vote is important! This communication presents only an overview of the more complete proxy materials that are available to you on the Internet. We encourage you to access and review all of the important information contained in the proxy materials before voting. The 2025 Proxy Statement and 2024 Annual Report to Stockholders are available at: Obtaining a Copy of the Proxy Materials – If you want to receive a copy of the proxy materials, you must request one. There is no charge to you for requesting a copy. Please make your request as instructed on the reverse side on or before November 26, 2025 to facilitate timely delivery. 2NOT Easy Online Access — View your proxy materials and vote. When you go online, you can also help the environment by consenting to receive electronic delivery of future materials. Step 4: Make your selections as instructed on each screen for your delivery preferences. Step 5: Vote your shares. 25-7037-2 C1.1 P2 |
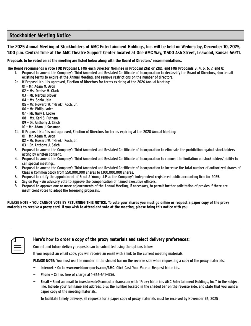
| Here’s how to order a copy of the proxy materials and select delivery preferences: Current and future delivery requests can be submitted using the options below. If you request an email copy, you will receive an email with a link to the current meeting materials. PLEASE NOTE: You must use the number in the shaded bar on the reverse side when requesting a copy of the proxy materials. — Internet – Go to www.envisionreports.com/AMC. Click Cast Your Vote or Request Materials. — Phone – Call us free of charge at 1-866-641-4276. — Email – Send an email to investorvote@computershare.com with “Proxy Materials AMC Entertainment Holdings, Inc.” in the subject line. Include your full name and address, plus the number located in the shaded bar on the reverse side, and state that you want a paper copy of the meeting materials. To facilitate timely delivery, all requests for a paper copy of proxy materials must be received by November 26, 2025 The 2025 Annual Meeting of Stockholders of AMC Entertainment Holdings, Inc. will be held on Wednesday, December 10, 2025, 1:00 p.m. Central Time at the AMC Theatre Support Center located at One AMC Way, 11500 Ash Street, Leawood, Kansas 66211. Proposals to be voted on at the meeting are listed below along with the Board of Directors’ recommendations. The Board recommends a vote FOR Proposal 1, FOR each Director Nominee in Proposal 2(a) or 2(b), and FOR Proposals 3, 4, 5, 6, 7, and 8: 1. Proposal to amend the Company’s Third Amended and Restated Certificate of Incorporation to declassify the Board of Directors, shorten all existing terms to expire at the Annual Meeting, and remove restrictions on the number of directors. 2a. If Proposal No. 1 is approved, Election of Directors for terms expiring at the 2026 Annual Meeting: 01 – Mr. Adam M. Aron 02 – Ms. Denise M. Clark 03 – Mr. Marcus Glover 04 – Ms. Sonia Jain 05 – Mr. Howard W. “Hawk” Koch, Jr. 06 – Mr. Philip Lader 07 – Mr. Gary F. Locke 08 – Ms. Keri S. Putnam 09 – Dr. Anthony J. Saich 10 – Mr. Adam J. Sussman 2b. If Proposal No. 1 is not approved, Election of Directors for terms expiring at the 2028 Annual Meeting: 01 – Mr. Adam M. Aron 02 – Mr. Howard W. “Hawk” Koch, Jr. 03 – Dr. Anthony J. Saich 3. Proposal to amend the Company’s Third Amended and Restated Certificate of Incorporation to eliminate the prohibition against stockholders acting by written consent. 4. Proposal to amend the Company’s Third Amended and Restated Certificate of Incorporation to remove the limitation on stockholders’ ability to call special meetings. 5. Proposal to amend the Company’s Third Amended and Restated Certificate of Incorporation to increase the total number of authorized shares of Class A Common Stock from 550,000,000 shares to 1,100,000,000 shares. 6. Proposal to ratify the appointment of Ernst & Young LLP as the Company’s independent registered public accounting firm for 2025. 7. Say on Pay – An advisory vote to approve the compensation of named executive officers. 8. Proposal to approve one or more adjournments of the Annual Meeting, if necessary, to permit further solicitation of proxies if there are insufficient votes to adopt the foregoing proposals. PLEASE NOTE – YOU CANNOT VOTE BY RETURNING THIS NOTICE. To vote your shares you must go online or request a paper copy of the proxy materials to receive a proxy card. If you wish to attend and vote at the meeting, please bring this notice with you. Stockholder Meeting Notice 25-7037-2 C1.1 P3 |

